ĐẠI HỌC ĐIỆN LỰC
Call Us
Contact Us
Menu
Đóng
ĐẠI HỌC ĐIỆN LỰC
ĐẠI HỌC ĐIỆN LỰC
Giới thiệu
Thư ngỏ
Cơ cấu tổ chức
Giảng viên khoa
Đào tạo
Đại học
Thạc sĩ
Tiến sĩ
Nghiên cứu
Công bố khoa học
Đề tài, dự án
Hợp tác
Hợp tác quốc tế
Hợp tác doanh nghiệp
Sinh viên
Hoạt động sinh viên
Việc làm
Liên hệ
Trang chủ
Giới thiệu
Thư ngỏ
Cơ cấu tổ chức
Giảng viên khoa
Đào tạo
Đại học
Chuyên ngành Hệ thống điện
Thạc sĩ
Tiến sĩ
Nghiên cứu
Công bố khoa học
Đề tài, dự án
Hợp tác
Hợp tác quốc tế
Hợp tác doanh nghiệp
Sinh viên
Hoạt động sinh viên
Việc làm
Liên hệ
Trang chủ
>
Tin tức
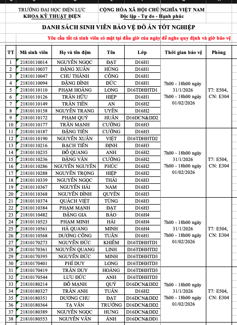
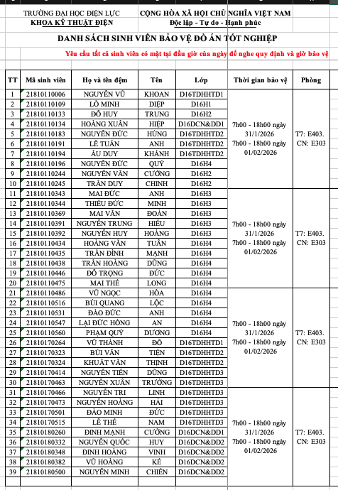
THÔNG BÁO DANH SÁCH PHÒNG CHẤM ĐỒ ÁN TỐT NGHIỆP D16 VÀ KHÓA CŨ
Powered by EPU
Bạn cần hỗ trợ?